Borang Wang Masuk Slip Bank. Fungsi - untuk bertanya tentang barang yang hendak dibeli 3.
Format Penulisan Kerja Kursus Perniagaan
Butir - jenis barang - harga barang - kuantiti - syarat serahan dan syarat bayaran SURAT JAWAPAN 1.
Dokumen perniagaan kerja kursus akaun. Seronok membaca setiap urusniaga yg dibina oleh pelajar sendiri. Salam Sejahtera Isu pakai akaun bank personal isu besar yang diremehkan Orang kata mudah. Digunakan untuk merekod pengeluaran barang niaga atau wang untuk kegunaan peribadi atau kegunaan perniagaan atau memasukkan modal tambahan dalam perniagaan.
View Kerja Kursus Prinsip Perakaunan T4_2015xls from ACCOUNTING BKAR1013 at Northern University of Malaysia. Hazwani Abd Hamid Bismillah Assalammualaikum. Tarikh Dokumen Masuk Keluar Baki RMPasan g Jumlah 2018 RM MAC 1 Memo 40 70 2800 2.
Minggu ni pelajar dikehendaki menyediakan dokumen pula. 0200 0430. Aug 19 2010 dah masuk minggu ketiga pelajar2 menyediakan Kerja Kursus.
Dokumen perniagaan invois 5. Kerja Kursus SPM 2016. 11 PENGENALAN PERNIAGAAN Saya xxx telah menubuhkankan Perniagaan milikan tunggal pada 1.
4A NO KAD PENGENALAN. Format Soalan Prinsip Perakaunan SPM bermula tahun 2009. SEKOLAH AGAMA MENENGAH TINGGI SULTAN SALAHUDDIN ABDUL AZIZ SHAH BT 38 45200 SABAK BERNAM SELANGOR KERJA KURSUS PRINSIP PERAKAUNAN TINGKATAN 4 SPM 2014 NAMA.
Kerja Kursus Prinsip Perakaunan Tingkatan 5 Cadangan Meningkatkan Prestasi. SILA BERJAYA ENTERPRISE No Akaun. SOALAN kerja kursus Tingkatan 5 2013 Sila klik Soalan K Kursus T5 2013.
Dilampirkan bersama sama ada sebut harga. Mar 26 2013 Dt Akaun Bank 50000 Kt Akaun pinjaman Maybank 50000 207 Membeli kenderaan untuk kegunaan perniagaan dengan cek RM15000 En Majid telah membeli aset dengan mengurangkan baki di akaun bank jadi. 28Menyediakan satu set akaun mengikut kitaran perakaunan untuk perniagaan milikan tunggal penyata kewangan untuk perniagaan perkongsian kelab dan persatuan serta situasi rekod tak lengkap mengikut tatacara dan amalan perakaunan.
WANG TUNAI MASUK Tarikh. Apr 03 2018 1. 5 SMK SERI SAMUDERA MANJUNG RAYA 32040 SERI MANJUNG PERAK TUGASAN PROJEK KERTAS 37563 SPM 2011 Saya memperakui bahawa Tugasan Projek yang dikemukakan untuk memenuhi syarat Peperiksaan Sijil Pelajaran Malaysia 2011 bagi mata pelajaran Prinsip Perakaunan 37563 adalah tulen.
1000 1230. Download Soalan Kertas 3 Prinsip Perakaunan untuk calon SPM 2016 dari LPM 37563. PRINSIP PERAKAUNAN 3756 08 MAC 2021 ISNIN 0800 0915.
Minta izin untuk guna dokumen perniagaan bagi kerja kursus tingkatan 4. Dihantar oleh pemborong kepada peruncit 2. KAD INVENTORI 6BUKU CATATAN PERTAMA 7LEJAR 8IMBANGAN DUGA 9PELARASAN 10JURNAL PELARASAN 11LEJAR PELARASAN 12IMBANGAN DUGA TERSELARAS 13AKAUN KAWALAN ABT ABB 14AKAUN PENGELUARAN 15AKAUN.
KERJA KURSUS AKAUNdocx - PENGENALAN PERNIAGAAN Saya. Dt Akaun Kenderaan 15000 Kt Akaun Bank 15000 217 Bayar hutang kepada Sykt Raju dengan cek RM1500 En. 780228-03-6254 ANGKA GILIRAN.
Jan 13 2008 Memaklumkan akaun pemilik telah dikreditkan ditambahkan dengan satu jumlah tertentu berserta dengan sebab. KERJA KURSUS AKAUNdocx - PENGENALAN PERNIAGAAN Saya Norfaradila binti Jalani telah menubuhkan sebuah kilang kasutKilang kasut ini saya telah memberi. SITI AMINAH BINTI HUSSIN TINGKATAN.
BFT6007 KANDUNGAN Mukasurat Penghargaan 10 Pengenalan 20 Profil Perniagaan 30 Perancangan Urus Niaga 40 Dokumen Perniagaan. Templat menyediakan dokumen perniagaan dan juga menyediakan jurnal dan lejar menggunakan perisian EXCEL. School University of Malaysia Pahang.
Kertas 3 Kerja kursus dokumen perniagaan kitaran perakaunan. Contoh Kerja Kursus PAkaun tahun 2011 1. Profile perniagaan 3Perancangan urusniaga 4.
Dokumen dari peruncit kepada pemborong 2. Prinsip Perakaunan 3 SPM 2016. Buat bisnes tanpa ada akaun bank bisnes Coach Wani 247 pm Teks.
1 Mac 2010. Kertas 4 Calon Persendirian. Dipetik daripada Dokumen Standard Kurikulum dan Pentaksiran Prinsip Perakaunan.
Kertas 1 40 soalan objektif Kertas 2 4 soalan esei 25 markah setiap soalan. DOKUMEN PERNIAGAAN DALAM NEGERI SEBELUM MEMBELI SURAT TANYA 1.
Kerja Kursus Prinsip Perakaunan
Tutorial 16 Kerja Kursus Pa Dokumen Perniagaan Keratan Cek Youtube
Contoh Surat Pengesahan Tiada Pendapatan Google Search Surat Simply Some Pictures
Tutorial Kerja Kursus Pa 1 Merekod Profil Perniagaan Youtube
Profil Perniagaan Kerja Kursus Akaun 2014
Tutorial 14 Kerja Kursus Pa Dokumen Perniagaan Youtube
1 Pengenalan Kerja Kursus Prinsip Perakaunan
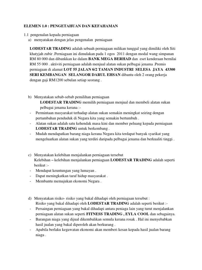
35463123 Contoh Pengenalan Perniagaan
Contoh Kerja Kursus P Akaun Tahun 2011
Contoh Kerja Kursus P Akaun Tahun 2011
Contoh Kerja Kursus P Akaun Tahun 2011
Doc Softcopy Kerja Kursus Tanusha Subramaniam Academia Edu
Doc Panduan Penyediaan Rancangan Perniagaan Hidayah H Academia Edu
Contoh Kertas Kerja Prinsip Perakaunan Tingkatan 4
Aku Dan Dunia Kita Contoh Surat Perjanjian Perkongsian Perniagaan Pdf At Home Workouts Surat
Dunia Akaun Syoknya Perakaunan Dokumen Perniagaan
